11 Why are gravitational force and Coulomb force so similar?
104
0
·
2026/04/13
·
1 mins read
☕
WriterShelf™ is a unique multiple pen name blogging and forum platform. Protect relationships and your privacy. Take your writing in new directions. ** Join WriterShelf**
WriterShelf™ is an open writing platform. The views, information and opinions in this article are those of the author.
Article info
This article is part of:
Categories:
⟩
⟩
Date:
Published: 2026/04/13 - Updated: 2026/05/01
Total: 194 words
Like
or Dislike
About the Author
I love science as much as art, logic as deeply as emotion.
I write the softest human stories beneath the hardest sci-fi.
May words bridge us to kindred spirits across the world.
More from this author
More to explore


Why are gravitational force and Coulomb force so similar?
The first scientist to explore this phenomenon was the famous Michael Faraday, though he obtained no conclusive results.
Later, people explained this phenomenon with the following reasons:
1. The core reason: space is 3-dimensional
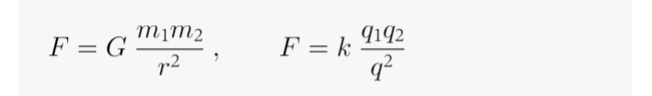
In 3D Euclidean space, any field lines without shielding, loss, sources, or sinks naturally follow the inverse-square law.
2. Both are interactions of structureless point sources
The source of gravity is mass; the source of Coulomb force is electric charge.
Both are:
- scalar quantities (direction-independent, only magnitude matters)
- additive
- point-to-point direct interactions
3. Both are the simplest forms of gauge fields / tensor fields
From the perspective of modern field theory:
- The electrostatic field is a U(1) Abelian gauge field, with massless, non-self-interacting photons.
- Gravity is a tensor field in general relativity, with hypothetical massless gravitons (linearized in the classical approximation).
Massless, non-self-interacting long-range fields, under the approximations of far field, low speed, and weak field, all reduce to:
central forces obeying the inverse-square law
This is why gravity and Coulomb force appear like twins in the macroscopic classical world.
However, I have my own ideas.