41 一种多原点高维度几何的构造
WriterShelf™ is a unique multiple pen name blogging and forum platform. Protect relationships and your privacy. Take your writing in new directions. ** Join WriterShelf**
WriterShelf™ is an open writing platform. The views, information and opinions in this article are those of the author.
Article info
This article is part of:
分類於:
⟩
⟩
合計:169字
Like
or Dislike
More to explore

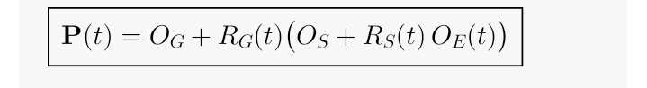
我的几何的结构:
1. 银河系整体质心 → 第一原点、第一层级
2. 太阳(银河系内局域质心) → 第二原点、第二层级
3. 地球(太阳系内局域质心) → 第三原点、第三层级
每一层都是独立原点,
每一层都扭曲周围空间,
并且嵌套、叠加、互不抵消。
公式为
三维视觉描述:
1. 银心 O_G 转一圈 → 大螺旋
2. 太阳 O_S 一边随银河转,一边自转 → 中螺旋
3. 地球 O_E 再嵌套在太阳上 → 小螺旋
合起来:
一层缠一层,整体就是一根巨大的时空麻花。